Se pune presiune mare pe Trump, este criticat și denigrat pentru relația cu Putin!
Thomas L. Friedman, un expert american și câștigător a 3 premii Pulitzer, dezvăluie lucruri din culisele politicii externe a președintelui american. El scoate la...
Comaroni: Decăderea lui Biden în fața lui Obama va avea consecințe mari, printre altele...
Autor: Oana-Medeea Groza
În ediția de miercuri a emisiunii „Ce-i în Gușă, și-n căpușă”, moderată de Cozmin Gușă la Radio Gold FM, jurnalistul Bogdan Comaroni...
Orban blochează ajutorul pentru Ucraina dacă liderii UE nu susțin necondiționat planul de pace...
Premierul Ungariei, Viktor Orban, a notificat oficial Comisia Europeană că, dacă Uniunea Europeană nu susține „imediat și necondiționat” „planul de pace” al lui Donald Trump, Ungaria va...
Potențialul război dintre Egipt și Etiopia: cum se vor descurca țările BRICS+?
Autor: Daria Gușă
Suntem în primul an și la începutul celei de-a doua luni de funcționare a organizației țărilor emergente în formatul BRICS+. Prima reuniune...
Donald Trump se întâlnește azi cu Volodimir Zelenski, la Trump Tower: ”El a cerut...
Întorsătură de situație! Donald Trump, candidatul republican la Casa Albă anunță joi că urmează să se întâlnească cu președintele ucrainean Volodimir Zelenski vineri dimineața,...
Lecția sârbească a irigațiilor pentru România
Ministrul sârb al Agriculturii, Silviculturii și Gospodăririi Apelor, Jelena Tanasković a declarat că până acum în proiecte de irigare au fost investite 130 de...
Cum se va schimba politica externă americană sub Trump și care sunt perspectivele României?
Autor: Daria Gușă
Acum că Kamala Harris este în mod oficial singurul candidat al democraților, este evident că Donald Trump va câștiga alegerile prezidențiale dacă...
The Israel-Palestinian War worsens because of the conflict of opinion between Biden and Obama....
Author: Cozmin Gușă
In this analysis I want to explain to you the major pro-Palestinian approach in the US media and civil society, which, surprisingly,...
Erdogan îl spulberă pe Netanyahu: “Nu e diferență între el și Hitler”!
Președintele Turciei, Recep Erdogan, a făcut acuzații grave, miercuri, la adresa prim-ministrului guvernului israelian, Netanyahu, pe care l-a comparat cu dictatorul nazist Adolf Hitler,...
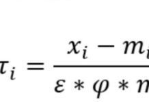
Senzațional! Calculul lui Trump pentru tarife este un nonsens, afirmă un guru al domeniului
Nu a durat mult până când cineva a descifrat modul în care Casa Albă a decis să răstoarne ordinea comercială globală. Casa Albă a...













