Nu a durat mult până când cineva a descifrat modul în care Casa Albă a decis să răstoarne ordinea comercială globală. Casa Albă a susținut că și-a bazat decizia pe ratele tarifare și pe barierele netarifare, însă jurnalistul economic James Surowiecki afirmă că totul pare un calcul făcut pe un șervețel, pe colțul mesei. „Pentru fiecare țară, au luat doar deficitul nostru comercial cu țara respectivă și l-au împărțit la exporturile țării către noi”, a postat fostul editorialist financiar de la The New Yorker pe X. “Ce nonsens extraordinar este acesta”, a comentat el, citat de Politico.
Această abordare a însemnat că Trump și consilierii săi au luat pur și simplu deficitul comercial al SUA cu Uniunea Europeană – 235,6 miliarde de dolari în 2024 – și l-au împărțit la exporturile blocului către SUA, care au totalizat 605,8 miliarde de dolari.
Rezultatul a fost de 39%, pe care administrația l-a interpretat ca fiind avantajul comercial „neloial” pe care UE îl deține față de SUA. De aici, Casa Albă a propus un tarif de 20%, încadrându-l ca o măsură corectivă pentru a egaliza terenul de joc.
Trump, vorbind miercuri în Grădina Trandafirilor de la Casa Albă, a declarat că a fost „amabil” prin reducerea aproape la jumătate a ratei tarifare.
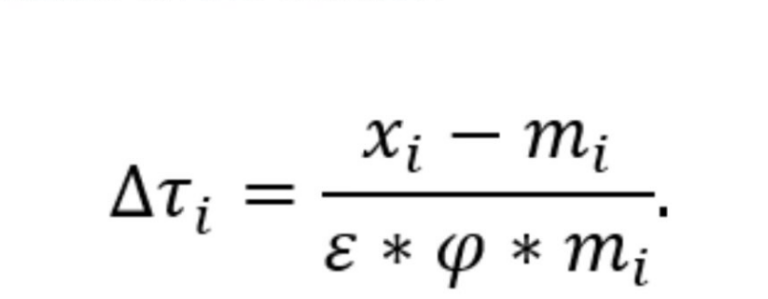
Casa Albă a răspuns cu o formulă cu litere grecești și șase referințe de cercetare pentru a sublinia credibilitatea deciziei sale economice importante. Întâmplător, această formulă descrie același calcul detaliat de Surowiecki în analiza sa.
Washingtonul a susținut că tarifele sale reciproce, elaborate de Consiliul consilierilor economici, se bazează pe o formulă care ia în considerare barierele comerciale, elasticitatea importurilor și ratele de trecere a tarifelor – cu scopul de a stabili tarife suficient de ridicate pentru a elimina deficitele comerciale bilaterale. De asemenea, taxa pe valoarea adăugată a fost considerată o barieră comercială, chiar dacă aceasta se plătește pentru produsele și serviciile vândute într-o țară, indiferent de unde provine compania care le vinde.
Cifra de 39% calculată de Casa Albă este de peste 10 ori mai mare decât tariful mediu real, ponderat în funcție de schimburile comerciale, perceput de UE, de 2,7%, conform Organizației Mondiale a Comerțului.
Calculele lui Surowiecki, cunoscut mai ales ca autor al bestsellerului „The Wisdom of Crowds” (Înțelepciunea mulțimilor), au fost un subiect important de discuție joi în Europa. Politicienii și oficialii încearcă ei înșiși să găsească un răspuns la tarifele lui Trump care, potrivit președintelui Comisiei Europene, Ursula von der Leyen, includ o amenințare cu represalii, rămânând în același timp dispuși să negocieze.
sursă: g4media.ro










